近大远小?在宇宙中,远处的天体看起来反而更大!
新浪科技综合
来源:科学大院
还记得《三体·死神永生》里的针眼画师么?
凡是他见过的人,都可以准确无误地画下来。但有一人是特例,画师也只能铩羽而归,他便是深水王子。
故事里的深水王子,远看像一座巨峰,再近些看则变成一个巨人大小,真正接近他时,看到的身高却比普通人还矮半截。失败的针眼画师辩解道:“世界上所有的景物,在我们的视野中都是近大远小,这就是透视原理。我是西洋画派的画师,西洋画派遵循透视原理,所以我不可能画出(近小远大)的他。”
小说毕竟是小说,对居住在地球上的我们而言,深水王子那般的远大近小只能是反常,而近大远小才是真理。可是如果放眼宇宙,类似深水王子这样的特例真的不成立吗?
远小近大,深入人心的透视原理
很多初学绘画的人,经常会听到透视这一概念。在评判一副画时,常常会提到,这幅画的透视关系不错,那幅画的透视比例不对等等。
世界是三维的,而画在纸上的画是二维的。在日常生活中,由于距离和观察方位的不同,我们看到的人和物的形象,有远近、高低、大小、长短之分。为了描摹的画传达到人眼中仍然具有立体感,就有了我们现在总结的透视原理(这里的透视指代照相机式的焦点透视)。
可以很好反映透视原理的一幅简笔画(图片来源:veer图库)
达芬奇总结的透视有三种:色彩透视、消逝透视和线透视。我们常说的近大远小,就是这条原理里的一个重点。
在相机发明之前,西方有不少画师是在用手还原摄影师的工作,那时候绘画的任务之一是要能清晰的刻画这个世界。皇家贵族们为了给自己造个像让众人敬仰,多半会雇重金请一个画师,自己再隆重打扮一番,安稳得像一个木头人一样坐上几个钟,耐心地等待着画师完稿。画师每动一笔,都要确保符合透视原理,保证被画者身体的美观匀称,这样才能确保佣金入袋。
符合透视原理的《蒙娜丽莎》和不符合透视原理的毕加索人物画作(图片来源:维基百科)
说到底,透视原理是一种科学与艺术相结合的技法,它的存在无非是为了还原这个世界真实的样子。离我们近的东西看起来就大,离我们远的东西看起来就小。那么问题来了,我们可以在现实中发现不符合透视原理的特例吗?
如果把地球和宇宙各比喻成一个气球,想象一下下图,你站在a点,同一块披萨到底是放在在b点还是c点显得更大呢?
(图片来源:小编自制)
我们会想当然地回答:一定是b点披萨看起来更小。对于地球这个静止的气球自然是对的,可惜对于宇宙这个气球而言,是不断有东西朝它吹气的,而且在b点和c点的披萨图像想要给a看需要一定的时间延迟,而延迟的过程中这个气球又膨胀了。所以,由于地理局限性,一旦将我们的视线放到整个宇宙(逐渐吹起的气球)里,奇怪的事情就发生了。。。。。。
这个宇宙有点“大小”失衡
我们的宇宙是一个膨胀的宇宙,使得大部分天体都在远离我们,使得它们的光谱往红端移动。我们常用红移量(z)来大致表示遥远星体距离我们的远近(这里的红移仅仅是指宇宙学红移,而不包含天体自身运动的红移)。红移越大的星体,离我们越远。以我们的邻居仙女座星系来说,若有一只上帝之手不断将他推离银河系,我们眼里看到它的图景将会是这样变化的:
当上帝之手推动我们的邻居星系M31越来越“远”,它的大小在我们眼里如图片那样变化(不考虑颜色变化)(图片来源:作者自绘)
可以看到,刚开始星系远离我们时,我们看到它确实是越来越小,不过远到一定程度的时候,怎么我们眼里却反常地变大了?可见,当红移z大于一定值的时候,我们脑海里近大远小的概念崩塌了。
诡异?有趣?还是Amazing?虽然现实情况下没有一个上帝之手将M31推离我们,但是事件背后的规律是的的确确存在的,这是我们在对宇宙星系大规模巡天得到的结果。
所以,这样诡异的现象是怎么发生的呢?
解决这样一个问题前,我们还要做一个知乎式的发问,当我们看看星系时,我们到底在看些什么?
是光!是经过千辛万苦到达地球的光!我们看到的并非是星系本身,而是这个星系的光子在宇宙传播后汇聚产生的图像。由于宇宙是不断膨胀的,所以我们必须摆脱绝对时空的思维来思考问题。
远处的星系被放大的原理图(图片来源:作者自绘)
假设星系两端各有一个光子朝地球飞来。前来的过程中,两个光子的空间也会随着宇宙的膨胀而膨胀。也就是说,光子一边汇聚到我们这里,一边也在相互远离。所以走的不是直线,而是曲线,我们反推回去的星系形状,实际是星系被放大的虚像。当天体离我们比较近的时候这个效应不明显;只有距离相当远,宇宙膨胀才起作用。堪称是宇宙版“让子弹飞一会儿”。
如果不满足于这样泛泛的定性回答,这里还有个定量的解释。
借由大量天文观测的结果,我们总结出了很受用的宇宙学原理,这一原理只有短短的一行字:宇宙是均匀且各向同性的。也就是说,在宇宙上的任意一点,以及从这一点的任何方向看过去,看到的景象都是一样的。也即是说,宇宙没有中心,从任何天体上都将观测到完全相同的宇宙演化图景。当然,这幅宇宙图景并不是放在地球尺度上用的,真正适用的是宇观尺度,比拟超星系团大小的尺度。
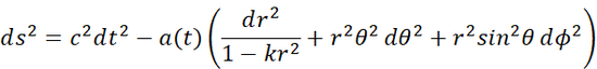
再结合爱因斯坦的相对论,我们得到这样一个宇宙时空的度规,宇宙的透视原理,就藏在了里面。
描述我们宇宙时空的FLRW度规
推导太复杂,有兴趣的小伙伴可以自己尝试推导或是参与评论区讨论。看到一两个公式就头大的小伙伴们只需要记住,利用FLRW度规推导的天体视角与红移的关系,最后一行的θ就是我们看到的视角(在大院后台回复“宇宙透视”,获取θ相关公式推导过程)。感兴趣的小伙伴可以戳这里:宇宙在膨胀,人们是怎么发现的?
谁改变了宇宙的透视效果?
既然我们已经发现了这一违背近小远大的规律,那么,有没有什么是影响宇宙透视效果的因素呢?那我们还得聊一聊宇宙的组分。
我们接触的世界虽然看似物质种类纷杂,但基本都可归类为重子,也就是我们俗话说的普通物质。如果把宇宙比喻成一块披萨饼,这类的普通物质却只占宇宙的5%左右,另外的25%是暗物质,这30%可以统称为物质项,因为它们都会参与引力作用相互吸引,来抑制宇宙的膨胀。剩下的70%是我们至今尚且捉摸不透的暗能量,我们只知道它是推动宇宙膨胀的幕后黑手,具体的细节,还是一个未知数。还有一类特殊的组分,它们便是宇宙中的信使——光子,虽然它们在星系形成之前尚且功勋卓著,而演化到如今这一宇宙时仿佛成了一个破落户,只占了千分之一不到的一块小角,权且充当这块大饼的调味剂了。下面的讨论我们不妨忽略掉它。
宇宙大饼(图片来源:中科院国家天文台陈学雷 制)
所以这么一综合,影响透视的只有两大因素了,一个是物质项,一个是暗能量项。继续拿M31星系为参考物,让我们再度重温一下当下宇宙的透视图:
我们这个宇宙下的透视效果,红移越大,说明离我们越远(图片来源:作者自绘)
会不会是暗能量在作怪,让我们自以为的透视原理失效了呢?那我们不妨做一个极端一点儿的假设。假设我们的宇宙全是由暗能量组成的,不掺一点儿杂质,那设想的星系不断远离的场景会是什么样的呢?
假设宇宙由完全的暗能量组成,这个宇宙下的透视原则(蓝色线)(图片来源:作者自绘)
可以看到,我们期盼的远小近大的宇宙又回来了,暗能量似乎不是颠倒我们认知观点的因素。为了确保无误,我们稍稍增加物质项的比例、减少暗能量的比例来试试:
暗能量逐渐从100%逐渐减少到70%,物质组分逐渐增加30%(我们的宇宙)下的透视变化情况(图片来源:作者自绘)
可以发现,随着物质比例的增加,奇怪的宇宙透视又回来了。似乎可以断定是物质的作用了。那好,接下来我们不妨再做一个极端的尝试,假设我们的宇宙物质比例占100 %,又会是什么样的情景呢?
如果我们的宇宙100 %由物质组成,宇宙对远处星体的“放大效应”还要显著更多(图片来源:作者自绘)
可以看到,100 %物质组成的宇宙,对常规透视原理的颠覆又多了不少。综合来看,反倒是我们不太敢怀疑的物质给我们带来了宇宙放大效应。而看似玄妙的暗能量反倒是我们固步自封的透视原理的守卫着了。至于像文章开头深水王子那样的例子,完完全全的远大近小的宇宙则是不存在的。
最后综合一下不同物质组分和暗能量组分下的宇宙透视效果(图片来源:作者自绘)
恰恰只有当宇宙以完全的暗能量存在时,远小近大的透视现象才始终不会失效。不过,宇宙若全是暗能量组成,又怎么会有我们人类的出现呢?这颇有些鱼和熊掌不可兼得的意思。最后,让我们装模做样地总结个歪道理吧:
有人的宇宙,总存在些不可思议的事情。