日冕 VS 光球,谁转得更快?
 
					新浪科技综合
来源:中科院之声
太阳大气从里往外,依温度变化可以划分为光球、色球、日冕。我们肉眼看到的明亮的日轮就是光球,其厚度不过几百千米,温度约6000度。日冕是太阳大气的最外层,厚度达到几百万公里以上;温度比光球高三个量级,密度则低七个量级;它的亮度仅为光球的百万分之一。
 
										
											左图为光球(黑点为黑子);右图为19.3纳米的日冕像(右边粗黑线为冕洞)。
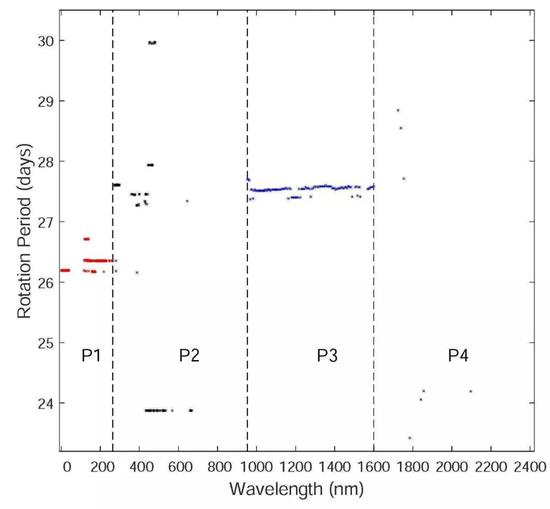
我们每天都感受着太阳给我们带来的光和热,那你知道太阳发出的光线其实分很多种吗?有X光、远紫外光、中紫外与近紫外光、可见光和红外光。太阳不同的区域会发射出不同的光线:太阳过渡区与日冕会发射X光与远紫外光;太阳色球的高层(亦或更高层)会发射中紫外与近紫外光;色球和高光球层会发射400-800 纳米的可见光;光球底部会发射900-1600 纳米的红外光。
那么,这些不同的光它们转的速度都一样么?不一样。近期,太阳物理学家研究发现,远紫外太阳光比近红外太阳光转得快。云南天文台抚仙湖太阳观测基地科研人员通过对不同颜色的太阳光进行周期分析发现,远紫外的太阳光自转周期约为26.3±0.13天,近红外的太阳光自转周期约为27.5±0.06天。
这就意味着,太阳大气的高层日冕反而要比低层的光球转得快(统计学上验证,这个结论是有意义的)。
太阳磁活动,或可揭开日冕反常加热之谜
蕴含在太阳光里的太阳能来源于太阳内部的核反应,按照热力学第二定律,太阳大气的温度必然是由内到外逐渐降低。然而,观测发现,太阳高层大气的日冕层温度却成百上千倍地比低层的光球层高。这就是“日冕反常加热之谜”。2012年,Science列出了国际天文学会在第29届大会公布的当代天文学的八大难题,日冕加热位列其中。
日冕加热直接关系到对太阳和恒星大气动力学过程的理解,当前太阳高层大气加热是个远没解决的问题。目前的理论模型和观测研究偏向于是小尺度磁活动来加热日冕,但存在争议,且都只是从加热方式和渠道来说明。
加热后的日冕是如何响应加热体的?加热的效果如何?这就要从太阳上的磁活动说起。
太阳上经常存在两种磁活动。一类是黑子(群),属于大尺度的磁活动,其尺度甚至可以达到20万千米,磁场强度可达数千高斯,一般寿命为数十天(短则1天,长则数月)。另一类是叫做“小尺度磁场”的磁活动。小尺度磁场遍布全日面,尺度一般小于2万公里、磁场强度一般小于300高斯,寿命一般不超过1天(短则数小时,长可超过1天)。小尺度磁场主要由太阳内部浮出,大尺度磁场分裂瓦解,可以成为小尺度磁场。
 
										
											上图:太阳磁图(长20万千米,宽12万千米);下图:在上图中扣去大尺度磁场剩下的小尺度磁场。
小尺度磁活动,让日冕转得比光球快
2018年,云南天文台抚仙湖太阳观测基地在国际杂志The Astrophysical Journal Supplement Series上发表了小尺度磁活动加热日冕的统计学证据。
他们发现,在低光球层(标准太阳大气模型中的温度正常下降层),色散的太阳光与大尺度磁活动呈反相关关系,且相对于小尺度磁活动,与大尺度磁活动更相关联;在高光球及之上(标准太阳大气模型中的温度反常增加层),色散的太阳光与大尺度磁活动呈正相关关系,且相对于大尺度磁活动,与小尺度磁活动更相关联。
换言之,在温度反常增加层,长期的“能量”变化与小尺度磁活动的长期变化共舞;而在温度正常下降层,从太阳内部“泄漏”的能量的长期变化与磁活动反相位。
在日冕,主要是磁场确定大量的不均匀辐射结构,这种低β日冕的加热主要与磁活动有关。被小尺度磁活动加热后的日冕(能量)的长期变化与小尺度磁活动“共舞”,说明了日冕被小尺度活动有效加热。
 
										
											太阳日冕被小尺度磁活动加热的统计学证据
大尺度黑子磁活动在一个自转周后往往变成小尺度结构。这就是为什么在温度反常增加层,大尺度磁活动领先色散太阳光一个自转周的原因,同时也说明是小尺度磁活动加热温度反常分布层。
云南天文台抚仙湖太阳观测基地的系列研究表明,太阳高层大气受小尺度磁活动影响,温度反常地比低层高,也反常地比低层转得快;同时研究也说明,引起太阳辐照度(太阳常数)变化的原因是小尺度磁活动。
 
										
											
										 
		
 
										