改写教科书!父亲也可以将线粒体DNA遗传给后代

新浪科技综合
来源:奇点网
人类对自身的认知又要刷新了。
近日,由辛辛那提儿童医院黄涛生教授和罗仕玉博士领衔,广西妇幼保健院、贝勒医学院、台大医院和梅奥诊所等研究机构的科学家共同组成的研究团队,在著名期刊《美国国家科学院院刊》(PNAS)发文[1]。
他们在三个独立家庭中证实:之前认为只能通过母亲遗传给后代的线粒体DNA,也可以通过父亲传递给后代。
对,你没看错,父亲也可以把线粒体DNA遗传给后代。
而且,从他们掌握的数据来看,线粒体DNA通过父亲传递给后代的现象在人群中的发生率约为0.02%[2]。可以说也是比较常见了。
这个发现不仅改写了我们对人类遗传学的认知;更重要的是,对于我们理解和治疗线粒体异常导致的疾病有极大的帮助。还有一点值得提及的是,如果这种现象在人类社会广泛存在,那么我们对人类进化和迁徙的认知有可能也会被改写。

辛辛那提儿童医院线粒体病中心主任黄涛生教授
“这是一个非常具有开创性的发现,”没有参加这项研究的斯坦福大学研究线粒体的专家说[2],“它可能开辟一个全新的领域,并改变我们寻找某些疾病病因的方式。”
线粒体是人体细胞的一种重要细胞器,不仅因为它是细胞的“能量工厂”,还因为它里面有一份独立于细胞核的DNA,与人类的很多遗传病相关。
之前有大量的细胞谱系和种族发育研究结果都非常明确地表明,线粒体只能从母亲传递给后代[3],是典型的“母系遗传”。
线粒体的这种遗传特征,让我们认识到线粒体异常导致的遗传病,只能通过母亲遗传给后代。此外,这个特点还能帮助人类寻找我们共同的祖奶奶。

其实为了给精子提供游动的能量,精子里面是有线粒体的。至于线粒体为何以母系遗传的方式传递,目前比较主流的观点是,精子中的线粒体携带更多的变异[4],对后代发育不利,因此受精后便被破坏、失活,或被稀释得无影无踪了[5,6]。不过,精子的线粒体究竟是如何被破坏掉的,目前还不清楚。
总之,大家都认为人类的线粒体都是从妈妈那里获取的。

卵细胞受精后,破坏精子中的线粒体
其实在1983年,Joseph Egger和John Wilson就在《新英格兰医学期刊》上报道过线粒体通过父亲传递给后代的案例[7]。然而,早在1980年斯坦福大学医学院的研究团队(国际著名遗传学家、美国科学院院士Douglas C。 Wallace是这个研究的负责人)在PNAS上发文表明,人类线粒体DNA通过母系遗传[8]。
当此之时,Wallace团队的“母系遗传论”获得了广泛的认可,以至于Egger和Wilson不敢相信自己的结论,再加上他们也缺乏有效的手段证明他们的发现,于是他们找了些原因就解释过去了[9]。

人类线粒体遗传学先驱Douglas C。 Wallace院士
线粒体DNA可以通过父亲遗传真正引起学界注意是在2002年。
Marianne Schwartz和John Vissing在研究一名28岁男性患者的线粒体疾病时,发现导致这名患肌肉疾病的异常线粒体DNA,居然是从他父亲那里获得的[10]。
这是科学家首次发现线粒体DNA可以从父亲那里传递给后代。不过遗憾的是,在接下来的16年里,再也没有类似的确切报道。以至于很多遗传学家们都认为,2002年那个发现完全就是个偶然事件。
父亲可以把线粒体DNA遗传给后代?正常情况下是不存在的~

如果不是因为测序技术的进步,以及黄教授团队的胆大心细,我们可能还认为在人类社会线粒体不存在父系遗传。
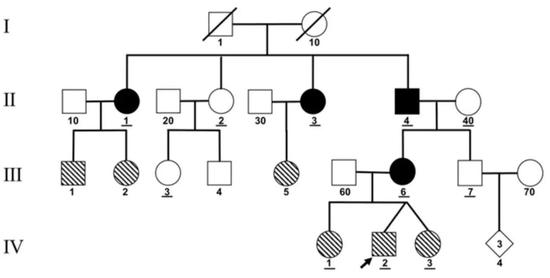
事情是这样的。黄教授收治的一名4岁男孩被怀疑有线粒体病。研究人员给患者做了线粒体DNA测序,结果没有发现可能的致病突变。
在这种情况下,医生一般会考虑给患者做其他的检查,看看是不是有其他疾病的可能。不过,黄教授团队的研究人员仔细分析了下患者线粒体DNA的异质性。数据让他们大吃一惊,异质性远远大于正常人的水平。
研究人员的第一反应是,肯定是哪个环节被污染了。于是他们又小心翼翼的取了一次样,重新做了一次测序。结果一模一样。
紧接着,研究人员又把小男孩的姐妹也找来测了序,发现他们姊妹三个都存在同样的异质性差异巨大的现象。
根据Wallace教授1980年的研究成果分析,这三姊妹的线粒体特征显然是遗传自他们的母亲。一测序,果然不假,他们的母亲也是这样的情况。

第IV行的2号就是那个4岁的小男孩(箭头所指的那个)~
到这里,换做别人可能会认为,这家人的线粒体DNA异质性就是这么独特,这不过也是个偶然现象罢了。
不过,黄教授团队还是往前又走了一步。他们找来了小男孩的外公外婆。给他的外公外婆也做了个线粒体DNA测序。
这回的测序结果让研究人员更吃惊了。数据显示,小男孩妈妈的线粒体DNA有60%是来自于小男孩的外婆,另外的40%来自于小男孩的外公。
如此看来,线粒体DNA确确实实可以通过父亲传递给后代~
为了证明线粒体DNA的父系遗传不是偶然现象,研究人员又找到了两个独立家庭,通过类似的测序分析,他们也发现了和第一个家庭一模一样的情况。算上第一个家庭的数据,这三个家庭中,一共有17个人的线粒体DNA来自于双亲。
为了保险起见,黄教授团队不仅将这三个家庭的样本送到其他实验室做了验证,而且还用Pacific Bio的单分子测序等技术做了进一步的复盘。
所有的结果都是一样。
而且,根据他们手头的数据做个简单的分析,他们发现线粒体DNA的父系遗传在人群中的发生率约为0.02%[2]。
也就是说,线粒体DNA通过父亲的精子分发给后代确有其事~
什么是线粒体疾病
总之,研究人员认为,他们的研究结果明确无误的证明,人类的线粒体DNA可以通过双亲传递给后代,改写了当前的线粒体遗传法则,这一发现或将改变人类对自身的认识。
不过,这种现象背后的机制目前还不清楚。黄教授团队认为,这可能与细胞核中的父系线粒体清除相关的基因突变有关。如果线粒体DNA父系遗传背后的机制被揭示,线粒体遗传病的诊断和治疗将是另一番景象。
