上海救治专家组组长:封城是测算病毒传播力后的最佳防控选项
澎湃新闻
原标题:上海救治专家组组长:封城是测算病毒传播力后的最佳防控选项
编者按:
近日,武汉新型冠状病毒肺炎的疫情举世瞩目,社交媒体上的信息轰炸牵动着全国人民的心。为帮助大家了解疫情的动态变化,复旦大学附属华山医院感染科微信公众号“华山传染”每日更新疫情相关数据,并邀请华山医院感染科主任张文宏教授就疫情的变化趋势、热点问题及相关注意事项,专门进行答疑解读。
张文宏教授是中华医学会感染病学分会常委兼秘书长,中华预防医学会感染病分会副主任委员,他所领衔的华山医院感染科是国家重点学科,参与过“非典”与人感染H7N9禽流感的救治,张教授也是上海市新型冠状病毒感染的肺炎医疗救治专家组组长。自武汉疫情发生以来,张教授持续跟踪,已在“华山传染”连撰数文,他的文字既专业严谨又通俗易懂,澎湃新闻经授权转发,我们希望张文宏教授这一组文章对读者更理性地看待疫情、更有效地做好自我防护工作有所裨益。
春节近半,不知道现在有多少人一早醒来第一件事就是翻阅微信或微博中置顶的“新型肺炎疫情最新数据汇总”。随着持续上升的红线和颜色不断加深的地图,大家内心逐渐充满惶恐和焦虑。甚至很难让大家相信,距离钟南山院士宣布新型冠状病毒可以人传人这件事情才过去一周。
原来说好的没有人传人,再到有限的人传人,再到1月23日开始的武汉封城。频道变化太快,困惑很多,没有超强的理解力和耐受力是无法接受的。为此,笔者再次调阅既往传染病传播数据,并根据最新新冠状病毒传播数据,来测算如果政府不干预(武汉封城),现在我们是什么一个情况,干预了又是怎么一个情况。
01.新冠的传播能力到底有多强?和SARS比如何呢?
笔者为这个问题特地请教了2003年SARS期间担任上海市传染性非典临床救治专家组组长的华山医院感染科终身教授翁心华老师。翁教授说,“2003年的SARS对上海来讲也是输入性的,现在的新冠状病毒肺炎对上海来讲也是输入性的。但当时上海抗非典半年,共筛查出8个病人,现在距1月20日上海发布首例确诊新冠肺炎才7天,新冠肺炎确诊达到53例。所以第一个感觉就是传播力不一样,感觉是此次新型冠状病毒似乎传播力更强一些。”
更强一些,那有多强呢?值得兴师动众封城?中国上一次封城是1911年,东三省鼠疫大暴发,死亡数万人,伍连德国士总领中国抗鼠疫大权,首先就是封锁东北,停止一切交通运输和人员来往。那这次的传播性达到了什么样的水平,让我们再启动百年前的古老隔离方案?
在传染病传播力判断方面,我们一般会通过计算传播指数(R0)来判断传染性的强弱,R0指在没有外力介入,同时所有人都没有免疫力的情况下,一个感染到某种传染病的人,会把疾病传染给其他多少个人的平均数,通俗地说,就是“一个患者能传染给几个人”,这个传播指数只要超过1(R0>1),这个疾病就会在人群中蔓延。除非我们采取有效的措施来打断他。那么我们比较熟悉的几种传染病的传播力是多少呢?
谈到这么远,那么这次发现的2019新冠状病毒传播力现在可以根据目前的流行学数据获得了吗?还真有,早在1月17日,武汉疫情还没有引起广泛关注的时候,世界卫生组织传染病建模合作中心(WHO Collaborating Centre for Infectious Disease Modelling)、英国帝国理工学院MRC全球传染病分析中心(MRC Centre for Global Infectious Disease Analysis)发表报告称,他们推断,截至2020年1月12日,武汉新型冠状病毒感染患者预计达1723例(预测区间427-4471),数量远大于当时通报的病例数量。但是今天(1月27日)公布的湖北病例数是1423,考虑到还有疑似病人未被筛查出来,增额数据还是有值得参考的价值的。这种推测病例数的数学模型至少有一定的实际估算作用。
2020年1月24日,英国兰开斯特兰开斯特大学学者在medRxiV发布了基于最新流行数据所构建的新型冠状病毒传播预测模型结果。这种预测是基于考虑到新冠状病毒是在潜伏期和感染期均有传染性的疾病,我们现在已经证实了这种传染性的存在,同时,本次疫情还存在特殊性,也就是疫情初期就遇到一场宏大的人口迁徙(春运)。这样算起来新型冠状病毒R0值为3.8(95% CI:3.6-4.0)。这提示我们,基于目前数据来疫情仍处于快速增长期,必须通过强有力的防控措施阻止感染的传播。而就在该文章发布次日(大年初一),美国哈佛大学流行病学家埃里克·费格丁(Dr. Eric Feigl-Ding)在推特发文表示,此次武汉新型冠状病毒的基本再生数 R0 为 3.8 。这两个数据的重合,再结合临床的实际观察,笔者认为新冠状病毒的传播力可能会超过SARS或者接近(2-5)。
02.如果不给予任何干预,那么新冠病毒播散的速度将会成指数级上升。
根据目前的临床观察,这次感染的另外一个特点是重症病例比例低,而且临床已经发现有大量轻症而不被诊断的患者,这种隐匿性的感染传播力非常强。如果不采取一些防控措施,如戴口罩、勤洗手、避免聚集性活动等,那么人群受感染的风险将是惊人的。
在21日左右,武汉已经出现了社会恐慌、大众普遍焦虑,发热病人不分轻重扎堆医院而可能引发交叉感染。这种出现加速上升的趋势的结局是非常恐怖和难以预测的,如果不进行干预,国外学者预测的出现数十万人群感染可能会成为现实。
1918年的欧洲就是这样。当时西班牙大流感进入了第二阶段,当时因为第一波流行带来的巨大心理阴影面积,第二次流行时恐惧情绪让大量发热患者涌向各级医院,交叉感染暴发,并且致使医疗机构功能瘫痪。100年前的大流感阴影至今还存在。
03.封城是迫不得已的选项吗?
在这个节点上,采取“封城”可能是最佳的也是不得不采取的策略了。只不过采取这样相对极端的控制疫情方案,会产生相关的后遗症,但是相信我们的国家与政府的能力,100年过去,我们有充分的理由相信党和国家能有序、稳步地带领我们走向胜利。
封城解决了病例输出的问题,同时在湖北全境进行交通管制,对已经感染的轻症患者和密切接触者实施居家隔离,政府做好了相应的支持工作。对于重症患者实施快速病原学筛查,通过建立大型传染病医院实施集中治疗。如果所有的显性传染源得到筛查,隐性传染源(轻症或者无症状感染者)通过居家隔离两周,那么封城后的2周,应该可以看到病例数达到峰值,然后增速逐步下来的趋势,这样能够避免1918年大流感样暴发的发生。
现在的问题再回到武汉外的其他城市,据报道,武汉封城前有500万人向全国各地输出。国外学者研究根据往年同期武汉出行情况,按照航班人数预测中国其他暴发城市将是上海、北京、广州、重庆和成都(图3)。但笔者需要特别提醒的是,该模型所基于的“出行情况”仅仅考虑了航空旅行,而没有包括陆运。因此,湖北其他城市和周边省市同样是本次新冠防控的关键。近日笔者随国家卫计委抗冠督导团在河南督导,发现和湖北接壤的河南、湖南等省面临陆路病例输入的巨大风险。这些地区的风险不容低估,而且已经出现病例数的显著攀升。
绝不要以为武汉封城,万事大吉。反之,全国各地正面临输入性病例的巨大挑战。
目前这2周内,全国新冠疫情也进入新阶段,21日之前携带病毒患者已经扩散至全国各地,并将以感染者的面目陆续浮现,形成又一波压力。即使采取“封城”这一强硬措施,大家还远远不能高枕无忧。扎实做好个人防护,自觉采取主动“封街道”、“封社区”、“封家”、居家办公等隔离措施,努力将传播数值R0值控制在1以内,这样的话病例数就会逐日缩减。国家目前已经延长春节假期、推迟学校开学,就是为了尽全力增加“控制传染源”的时间。这段时间将成为武汉以外其他省市控制病情蔓延、防止当地二代病例出现的绝佳黄金时间段。
希望今天的分析能够让大家理解国家采取封城,延长假期这样的强制措施的背后科学意义。在这样的重大公共卫生事件面前,采取科学防控,有的放矢地采取最高效的防控措施,使得“控制传染源”、“切断传播途径”、“保护易感人群”真正落地。
通过流行病学的科学分析,我们更应该意识到,能早日实现这场传染病战役胜利的关键不是这些每天变化的数字,而是我们每一个人。
张文宏
2020年1月28日
(本文原题为《新冠肺炎专家解读丨为什么要封城:测算新冠状病毒传播力后的最佳防控选项》,作者张文宏为上海医疗救治专家组组长、华山医院感染科主任,微信首发于公众号“华山传染”,版权归复旦大学附属华山医院感染科所有,澎湃新闻获授权转发。)
近日,武汉新型冠状病毒肺炎的疫情举世瞩目,社交媒体上的信息轰炸牵动着全国人民的心。为帮助大家了解疫情的动态变化,复旦大学附属华山医院感染科微信公众号“华山传染”每日更新疫情相关数据,并邀请华山医院感染科主任张文宏教授就疫情的变化趋势、热点问题及相关注意事项,专门进行答疑解读。
张文宏教授是中华医学会感染病学分会常委兼秘书长,中华预防医学会感染病分会副主任委员,他所领衔的华山医院感染科是国家重点学科,参与过“非典”与人感染H7N9禽流感的救治,张教授也是上海市新型冠状病毒感染的肺炎医疗救治专家组组长。自武汉疫情发生以来,张教授持续跟踪,已在“华山传染”连撰数文,他的文字既专业严谨又通俗易懂,澎湃新闻经授权转发,我们希望张文宏教授这一组文章对读者更理性地看待疫情、更有效地做好自我防护工作有所裨益。
原来说好的没有人传人,再到有限的人传人,再到1月23日开始的武汉封城。频道变化太快,困惑很多,没有超强的理解力和耐受力是无法接受的。为此,笔者再次调阅既往传染病传播数据,并根据最新新冠状病毒传播数据,来测算如果政府不干预(武汉封城),现在我们是什么一个情况,干预了又是怎么一个情况。
01.新冠的传播能力到底有多强?和SARS比如何呢?
笔者为这个问题特地请教了2003年SARS期间担任上海市传染性非典临床救治专家组组长的华山医院感染科终身教授翁心华老师。翁教授说,“2003年的SARS对上海来讲也是输入性的,现在的新冠状病毒肺炎对上海来讲也是输入性的。但当时上海抗非典半年,共筛查出8个病人,现在距1月20日上海发布首例确诊新冠肺炎才7天,新冠肺炎确诊达到53例。所以第一个感觉就是传播力不一样,感觉是此次新型冠状病毒似乎传播力更强一些。”
更强一些,那有多强呢?值得兴师动众封城?中国上一次封城是1911年,东三省鼠疫大暴发,死亡数万人,伍连德国士总领中国抗鼠疫大权,首先就是封锁东北,停止一切交通运输和人员来往。那这次的传播性达到了什么样的水平,让我们再启动百年前的古老隔离方案?
在传染病传播力判断方面,我们一般会通过计算传播指数(R0)来判断传染性的强弱,R0指在没有外力介入,同时所有人都没有免疫力的情况下,一个感染到某种传染病的人,会把疾病传染给其他多少个人的平均数,通俗地说,就是“一个患者能传染给几个人”,这个传播指数只要超过1(R0>1),这个疾病就会在人群中蔓延。除非我们采取有效的措施来打断他。那么我们比较熟悉的几种传染病的传播力是多少呢?
图1:几大传染病传播指数R0比较,本图版权归华山感染所有。
从在上图可以看到,其实大家闻风丧胆的埃博拉和SARS的传播力都比不上流行性腮腺炎和麻疹。所以大家就知道为什么到现在为止,埃博拉和SARS并没有形成持续的全球性传播。而艾滋病的传播力也很强,接近4,那么如果我们人类不干预,不给艾滋病人进行抗病毒治疗,消除病毒,那么这个病是非常容易在人类中蔓延的,甚至于人类可能会被这种可怕的传染病消灭。一些生病后死亡率和重症率较低的传染病,如流行性腮腺炎和麻疹,传播力却超强,这种传染病如果没有疫苗的发现,那么每一个小孩都是要生一次的。谈到这么远,那么这次发现的2019新冠状病毒传播力现在可以根据目前的流行学数据获得了吗?还真有,早在1月17日,武汉疫情还没有引起广泛关注的时候,世界卫生组织传染病建模合作中心(WHO Collaborating Centre for Infectious Disease Modelling)、英国帝国理工学院MRC全球传染病分析中心(MRC Centre for Global Infectious Disease Analysis)发表报告称,他们推断,截至2020年1月12日,武汉新型冠状病毒感染患者预计达1723例(预测区间427-4471),数量远大于当时通报的病例数量。但是今天(1月27日)公布的湖北病例数是1423,考虑到还有疑似病人未被筛查出来,增额数据还是有值得参考的价值的。这种推测病例数的数学模型至少有一定的实际估算作用。
2020年1月24日,英国兰开斯特兰开斯特大学学者在medRxiV发布了基于最新流行数据所构建的新型冠状病毒传播预测模型结果。这种预测是基于考虑到新冠状病毒是在潜伏期和感染期均有传染性的疾病,我们现在已经证实了这种传染性的存在,同时,本次疫情还存在特殊性,也就是疫情初期就遇到一场宏大的人口迁徙(春运)。这样算起来新型冠状病毒R0值为3.8(95% CI:3.6-4.0)。这提示我们,基于目前数据来疫情仍处于快速增长期,必须通过强有力的防控措施阻止感染的传播。而就在该文章发布次日(大年初一),美国哈佛大学流行病学家埃里克·费格丁(Dr. Eric Feigl-Ding)在推特发文表示,此次武汉新型冠状病毒的基本再生数 R0 为 3.8 。这两个数据的重合,再结合临床的实际观察,笔者认为新冠状病毒的传播力可能会超过SARS或者接近(2-5)。
02.如果不给予任何干预,那么新冠病毒播散的速度将会成指数级上升。
根据目前的临床观察,这次感染的另外一个特点是重症病例比例低,而且临床已经发现有大量轻症而不被诊断的患者,这种隐匿性的感染传播力非常强。如果不采取一些防控措施,如戴口罩、勤洗手、避免聚集性活动等,那么人群受感染的风险将是惊人的。
图2,全国疫情地图,引用自丁香园,版权归丁香园所有。
请大家观察1月21日后的病例增长速度,开始出现明显的增幅,预示着1月21日开始武汉疫情将进入第二阶段,就是一代病例和二代病例交叉暴发的阶段,二代病例扩散状况将在2月4日左右逐渐成形。为了避免这一恐怖情况的出现,我们必须加强对感染者的集中筛查、发现并隔离。在21日左右,武汉已经出现了社会恐慌、大众普遍焦虑,发热病人不分轻重扎堆医院而可能引发交叉感染。这种出现加速上升的趋势的结局是非常恐怖和难以预测的,如果不进行干预,国外学者预测的出现数十万人群感染可能会成为现实。
1918年的欧洲就是这样。当时西班牙大流感进入了第二阶段,当时因为第一波流行带来的巨大心理阴影面积,第二次流行时恐惧情绪让大量发热患者涌向各级医院,交叉感染暴发,并且致使医疗机构功能瘫痪。100年前的大流感阴影至今还存在。
03.封城是迫不得已的选项吗?
在这个节点上,采取“封城”可能是最佳的也是不得不采取的策略了。只不过采取这样相对极端的控制疫情方案,会产生相关的后遗症,但是相信我们的国家与政府的能力,100年过去,我们有充分的理由相信党和国家能有序、稳步地带领我们走向胜利。
封城解决了病例输出的问题,同时在湖北全境进行交通管制,对已经感染的轻症患者和密切接触者实施居家隔离,政府做好了相应的支持工作。对于重症患者实施快速病原学筛查,通过建立大型传染病医院实施集中治疗。如果所有的显性传染源得到筛查,隐性传染源(轻症或者无症状感染者)通过居家隔离两周,那么封城后的2周,应该可以看到病例数达到峰值,然后增速逐步下来的趋势,这样能够避免1918年大流感样暴发的发生。
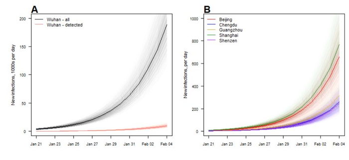
现在的问题再回到武汉外的其他城市,据报道,武汉封城前有500万人向全国各地输出。国外学者研究根据往年同期武汉出行情况,按照航班人数预测中国其他暴发城市将是上海、北京、广州、重庆和成都(图3)。但笔者需要特别提醒的是,该模型所基于的“出行情况”仅仅考虑了航空旅行,而没有包括陆运。因此,湖北其他城市和周边省市同样是本次新冠防控的关键。近日笔者随国家卫计委抗冠督导团在河南督导,发现和湖北接壤的河南、湖南等省面临陆路病例输入的巨大风险。这些地区的风险不容低估,而且已经出现病例数的显著攀升。
图3,全国几大城市患病人数预测图,引用自文献《Novel coronavirus 2019-nCoV: early estimation of epidemiological parameters and epidemic predictions》.
04.封城之后,万事大吉了吗?绝不要以为武汉封城,万事大吉。反之,全国各地正面临输入性病例的巨大挑战。
目前这2周内,全国新冠疫情也进入新阶段,21日之前携带病毒患者已经扩散至全国各地,并将以感染者的面目陆续浮现,形成又一波压力。即使采取“封城”这一强硬措施,大家还远远不能高枕无忧。扎实做好个人防护,自觉采取主动“封街道”、“封社区”、“封家”、居家办公等隔离措施,努力将传播数值R0值控制在1以内,这样的话病例数就会逐日缩减。国家目前已经延长春节假期、推迟学校开学,就是为了尽全力增加“控制传染源”的时间。这段时间将成为武汉以外其他省市控制病情蔓延、防止当地二代病例出现的绝佳黄金时间段。
希望今天的分析能够让大家理解国家采取封城,延长假期这样的强制措施的背后科学意义。在这样的重大公共卫生事件面前,采取科学防控,有的放矢地采取最高效的防控措施,使得“控制传染源”、“切断传播途径”、“保护易感人群”真正落地。
通过流行病学的科学分析,我们更应该意识到,能早日实现这场传染病战役胜利的关键不是这些每天变化的数字,而是我们每一个人。
张文宏
2020年1月28日
(本文原题为《新冠肺炎专家解读丨为什么要封城:测算新冠状病毒传播力后的最佳防控选项》,作者张文宏为上海医疗救治专家组组长、华山医院感染科主任,微信首发于公众号“华山传染”,版权归复旦大学附属华山医院感染科所有,澎湃新闻获授权转发。)
(本文来自澎湃新闻,更多原创资讯请下载“澎湃新闻”APP)