罗博深:一元二次方程的一种不同解法

澎湃新闻
原标题:罗博深:一元二次方程的一种不同解法
方法详述
二次方程的替代解法
1.如果找到两个数r和s,它们的和为- B、乘积为C,那么

2. 当两个数字分别为-B/2± u时,两数之和为- B。
3. 由1可知,两数乘积为C, 所以两个数字相乘得出

4. 开平方运算后,满足上述条件的u一定存在。
5. 所以-B/2± u 分别代表r和s,是该方程全部的根。
第1点于数百年前已知 (韦达定理逆定理)。
第2、3、4点被发现于数千年前(古巴比伦人、古希腊人)。
这一方法的每一个步骤都早在古代就已经被数学家们发现了,它们的结合其实也是每一个人都有可能想到的,但是自此方法面向公众发布以来,从历史参考文献中,我只找到了一篇与本方法相似的、连贯完整的二次方程解法的文章,该文章于1989年发表于《数学老师》(The Mathematics Teacher),作者约翰·萨维奇(John Savage)是一位数学老师。他的方法几乎与本方法的所有数学步骤重合,只是在符号选择上有所不同。
举例解释二次方程解法
回顾:相乘和分解
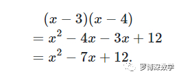
首先,让我们从使用分配律进行因式相乘开始(编者注:学生一般在学习二次方程前会先学习整式运算,人教版教材中,整式运算出现在七年级上册,一元二次方程出现在九年级下册):

这里的关键的一点是,-7x中的系数-7是由-3和-4相加得来的,而12则是-3和-4相乘而得。
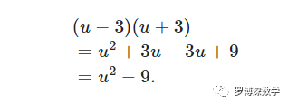
下面是另一个例子:

式子中同时出现了-3和3,且+3u和-3u可以被互相抵消,于是我们得到的结果是u和3两个数的平方差。这个计算过程(编者注:平方差公式)会在接下来的过程里有用。
了解整个多项式相乘的过程是很有必要的,因为如果我们可以进行反向的运算,那么我们就可以解二次方程了。例如,怎样才能找到满足


若想让两个数字乘积为零,唯一的方法就是让其中的至少一个数字为零。因此,只有x-3=0(即x=3)或x-4=0(即x=4)才能恰好能达到这种效果。请注意,这个解是我们从x中减去的数字,我们减去的不是-3和-4,而是3和4。
回顾:构建因式分解
让我们用下面的方程来尝试一下因式相乘的反向过程

我们试图将其因式分解为类似如下形式:

这样分解原方程的两个因式是一定存在的(编者注:这个步骤不是先假设二次方程一定有两个根,而是假设二次方程可以被因式分解,这个逻辑上的区别非常重要),虽然学生还没有学到这个知识点,但是通过这个方法可以向他们证明其可行性!
在上一节的讨论中,我们知道如果可以将二次方程做因式分解,则括号里空白处的两个数字就是该二次方程的根。若两个数字的和为2、积为-24,怎么确认这两个数字的值呢?绝大多数的学生学到的方法都是猜测和尝试(编者注:也就是中国读者熟悉的十字相乘法),以此来找到这些数字。这个过程可能会让人失去耐心,尤其是在要尝试负数相乘、且乘积值有多种分解方式(比如24就有很多因数)的时候。
萨维奇的求解思路其实和我的是一样的,只不过他想要找到的因式分解形式是


为了让初学者更加流畅地思考和理解,教学者在初次介绍因式分解的概念时,我推荐采用一个一次项系数为负的实例,这样让学生在理解因式分解的解题过程时既自然又方便地得到

见解:无需猜测就可以分解因式
我提出的这种方法能让学生不再依赖猜测因数便可准确找出根:如果两个数字之和为2,则它们的平均值为1。因此,无论这两个数字是多少,它们都可以分别表示为1加上一定数值,和1减去相等的数值。也就是说这两个数字可以表示成1+u和1-u,想要知道这两个数字是多少,只要找出u的值就可以了,当然,u的值是有可能为零的。
回到


我们之前已经见过了这种两数之和与两数之差相乘形式的式子了。答案永远是它们的平方差!因此,我们要找的就是这样的u,让它满足

这一步非常让人兴奋!除了一个 u的平方项,其他的部分都是数字!这意味着我可以轻松地把u解出来,而不需要依赖于任何新方法:

我们要找的两个数字就是(1+u)和(1-u),那么这里得到的两个u互为相反数就完全能够说通了,因为通过两个数值算出的结果是完全一样的:1+(-5)=-4, 1-(-5)=6或1+5=6, 1-5=-4。同时我们也能发现,6和-4的和为2,其乘积为-24。这些数字满足了和与乘积的关系,这一事实说明这样的因式分解式确实存在,也意味着我们已经找到了方程的根:x = 6 和 x= -4。
正如我在论文中指出的那样,虽然我(和其他许多人一样)提出了根据给定的和与乘积来找到两个数字的技巧,但实际上,古巴比伦人和古希腊人早在数千年前就已经知道了这种技巧。遗憾的是,古巴比伦时期的数学发展程度还不足以让他们用这个技巧来解二次方程。具体来说,他们当时根本还没有发展出多项式因式分解和负数(更不用说非实复数了)的概念。更深入的讨论,请参考文末给出的“相关成果 Quadratic Method: Related Work”链接。
应用示例:不易分解的二次方程
现在我们已经不再需要通过猜测常数项的因数来解方程,而是可以使用上述方法来解任何二次方程。比如说下面这个二次方程:

首先,让我们把两边同时乘以2使二次项的系数为1:

就像上面一样,如果我们可以找到两个和为4、乘积为6的数字,则因式分解(x- )(x- )将会存在,且空白处的这两个数字就将是方程解。它们的平均值必须是两数之和的一半,也就是说,我们想找到某个u,使得两个数分别为2+u和2-u。2+u和2-u的乘积应该是6。以下三个等式彼此等效:

在数学这门科学里,复数是一项非常重要的发明,它甚至让负数也有了平方根,所以我们这里的u便有了有效的数值。(这正是为什么这种方法无需使用“代数基本定理”,事实上,这种方法恰好证明了该定理适用于二次多项式。)因此,确实有这样两个数,它们的和为4,乘积为6,它们分别表示为2+u和2-u,即



应用示例:二次方程公式的证明
根据上述推演过程,我们能看到这一方法也提供了二次方程求根公式的另一种简单证明方法。
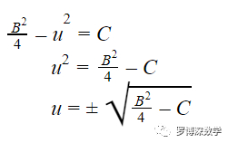
对于一般的二次方程


这三个等式都是彼此等价的。由于任何数都有平方根(有的时候需要以复数的形式来表示),所以当我们找到两个数字

上面的公式足以用来解决任何二次方程式,并不仅仅限于二次项系数为1的特殊情况。当二次项系数不为1的时候,你可以将方程两边同时乘以或除以某个数字,来使二次项前面的系数为1。这一步计算得出的公式与学生们过去在学校里学到的求根公式完全相同,这里演示一下求根公式是如何通过一般二次方程

只需要先将等式两边同时除以A,得到

然后,按照上面的方法,把B/A插入B的位置,C/A插入C的位置,便可以得到如下公式:

总结
该方法从一般二次方程式

1. 由于多项式因式分解存在,如果我们可以找到和为-B、积为C的两个数,则它们就是方程根的完整集合。
2. 使用古巴比伦/古希腊人的数学技巧(拓展到了复数领域),我们便可以在任意情况下找到这两个数字。
这个方法之所以在数学上是具有严谨性的,是因为有这样至关重要的一点,那就是在任何情况下,在进行步骤2时,我们总能找到满足步骤1中使用的两个数字,即使有时它们是非实数。所以说,卡尔达诺(Cardano)(约公元1500年)之前的数学家不可能完全做到这一点。
无论是韦达提出的根与系数的关系(步骤1),还是古希腊古巴比伦的先人数学家们得知两个数字之和为B时,这两个数字可以表示为B/2± u(步骤2)都是在几千年的数学历史中早已为大家所熟知的。通过在教学中的回顾和思考,我发现将它们组合起来,能够构成一个完整连贯的方法,可以帮助大家更简单明确、合乎逻辑地解出一般二次方程,也正是我追寻这种方法的意义所在——让更多对人类有用处的东西被保留下来,让它们不再随着时间的推移而消逝。
编后:
罗教授的论文在网络上公开之后,除了专注于学术的讨论之外,我们也看听到了不少读者对于该方法意义的不同声音。有些读者不解,一位“国家奥数队总教练”、“CMU数学系终身教授”头衔加身的人为什么会分享这样一个简单的发现?也有读者认为,人们已经有足够的工具去充分理解和求解二次方程了,这样的“创新”没有太大意义。
过去的十几年里,罗教授一直在竞赛圈和学术界孜孜不倦地贡献着自己的力量。但他本人也曾多次公开表达过,作为一名教育工作者,他认为推动更广大的群体对数学的兴趣和追求,是一件比只关注顶端的几个人更有意义的事情。
无论是社会或是个人成长和发展的过程中,总有一些很难平衡的问题:我们是应该投入大量的经费去探索未知的宇宙和海洋,还是应该把更多的资源分配给需要帮助的国家与人民?是用最好的镜头,在库穆库里沙漠潜心守候拍下一张藏羚羊的迁徙,还是用最简单的手机摄影,记录下父母50年的金婚瞬间?有些问题永远没有正确答案,只在于你凝视世界时的思考与世界回望时你的回应。