新浪科技

我造了一件钢铁侠战衣,防弹抗爆,还能上天

虎嗅APP

关注

原文来自wired,中文版首发于微信公众号:量子位(ID:QbitAI),编译:乾明、晓查,封面:电影《钢铁侠》

无数人心心念念的钢铁侠战衣,被人高度仿真做出来了:

出手者,是久负盛名的美国特效工程师、著名极客节目《流言终结者》主持人Adam Savage。

在他新做的一档节目Savage Builds中,介绍了这一壮举。

与其他钢铁侠战衣的Cosplay者相比,Adam的战衣明显精良了太多,而且防弹抗爆:

最关键的是,这个战甲真能上天。

要知道,漫威电影中,第一代钢铁侠战衣的雏形也不过如此。

视频放出来之后,瞬间在社交网络上刷屏,惊叹之声无处不在,而且想要拥有这套战衣的人很多。

那么,这样一个能飞的钢铁侠战衣,是怎么造出来的呢?

飞行原理

我们先从原理讲起。

在Adam Savage造出钢铁侠战衣后不久,科技媒体《连线》杂志就发表了一篇文章,从物理学的角度,详细分析了背后的原理。

而且所需的物理知识,没有超出九年义务教育范畴。

如果足够细心,你一定记得“钢铁侠”刚开始飞行时候,手臂会略微张开,保持一定角度。

这并非只是剧情效果需要。

因为这样一来,就会受到4个力的作用:有向下的重力(mg),来自背包喷射产生的向上的推力(FB),以及来自两个手臂喷射装置向上的倾斜的力(FR和FL),各个力的方向与构造大致如下图所示:

初中物理老师告诉我们,在这种状态下,想要钢铁侠悬浮在空中,需要各方合力保持为零,

其对应的公式如下:

那么,如果不改变喷射推力,怎么从悬停状态变成到加速起飞呢?

其中的关键是两个喷射臂的推力角。从上面的受力分析图来看,人在水平方向上受到的力有两个,来自左右喷射臂。

如下图所示,θ代表手臂与水平方向的夹角,力的大小分别是FRcosθ、FLcosθ。

在悬浮状态下, FRcosθ = FLcosθ,它们大小相等方向相反,相互抵消。

垂直方向上,人受到的力有4个,分别是来自喷射背包、喷射臂以及地球引力。假设战衣驾驶员处于悬停状态,则y方向上的合力必须为零。

FRsinθ + FLsinθ + FB - mg = 0

想飞起来,就把手臂贴近身体,此时手臂与水平方向的夹角θ增大,sinθ也在增大,总的升力将会大于重力。

同样的,当把手臂逐渐放平减小θ时,总的升力将小于重力,人就可以缓缓落回地面。

如果你是钢铁侠,想要操控战衣飞到别的地方去,就需要改一改喷射方向。

为了加速前进,你需要将你的手朝向后方,或者把身体向前倾斜,喷射器就会把你的身体向前推。反之亦然。

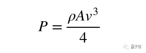
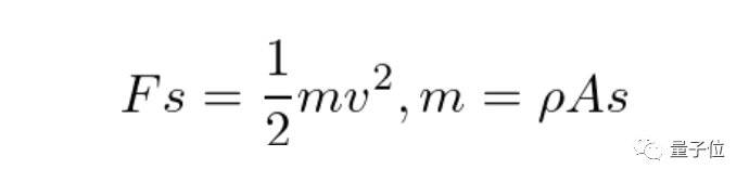
只有原理还不够,要让一个人飞起来,大致需要多少能量呢?一年前,《连线》也发文推算过这个问题。

喷气背包的原理是吸入空气喷向下方,产生向上的反作用力。推力对空气做功等于空气获得的动能。

由此算出推力的大小。

其中,ρ代表空气密度,A是喷射器截面面积,v是空气最终喷出的速度。当这个力等于重力的时候,人就能做到悬停。

此时喷射器的功率为:

人和钢铁侠战衣的总重量为90kg,总共有6个喷射器、每个直径都是10厘米,代入其中的算出功率为78千瓦,也就是104马力。

实际上Adam拍摄所用的钢铁侠战衣功率比这个结果大得多,约1000马力。

原理简单上手难

可以看出,钢铁侠战衣的基本原理并不复杂,但实际制造过程却比这个复杂得多。

不过,得益于现代工业的发展,Adam在制作的过程中使用了很多现成技术。

首先,战衣上的各个部件,都是通过3D打印制作,原料是钛合金,其防弹的能力也是来自于此。

飞行则是依靠战衣上的三个小型喷射引擎,它们来自喷气背包公司Gravity Industries。

如上述分析,战衣的背部一个,左右手臂上分别有一个,这样的设置,让驾驶者只需要动一下胳膊就能够调整飞行姿势。

不过,与真正的钢铁侠战衣不同的是,喷气背包和喷嘴不可能和真正的史塔克战衣一样小。

常规动力在钢铁侠胸前的弧形反应堆面前不值一提。

Gravity Industries仅仅能提供1000马力的功率,托尼·斯塔克的反应堆使用的是核能,每秒就能输出8千兆焦耳,大致相当于每秒烧掉200多升汽油,功率是前者的1万倍以上。

所以制作钢铁侠战衣最大的瓶颈和智能手机一样,都是电池续航太短,斯塔克的那颗弧形反应堆才是核心难题。

当然,最核心的地方还在于,动力引擎与战甲并不能集成在一起。

以至于不少人看到Adam的钢铁侠战衣之后,第一反应就是,这不是红警里面的火箭飞行兵吗?

说实话,还真有点像。

原文来自wired,中文版首发于微信公众号:量子位(ID:QbitAI),编译:乾明、晓查,封面:电影《钢铁侠》

加载中...